Friday, November 18, 2022

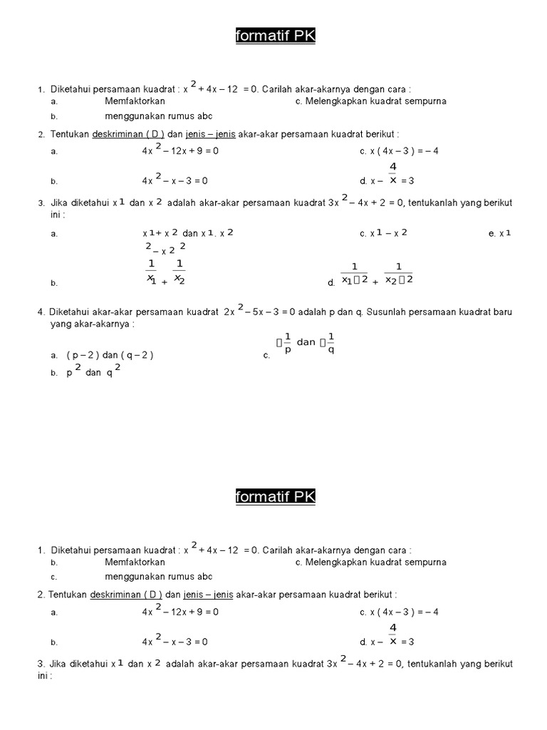
Tentukan Penyelesaian Persamaan Kuadrat Berikut Dengan 3 Cara (memfaktorkan ,melengkapkan Kuadrat Sempurna, Rumus Abc) !

Pertanyaan:


tentukan penyelesaian persamaan kuadrat berikut dengan 3 cara (memfaktorkan ,melengkapkan kuadrat sempurna, rumus abc) !
A. X² - 5x + 6 = 0
B. X² + 3x -4 = 0​

Jawaban

  • Penjelasan dengan langkah-langkah:

    A.

    1) Dengan memfaktorkan:

    [tex]\begin{align}x^2-5x+6 &= 0 \\ (x-2)(x-3) &= 0 \\ x_1 = 2 \text{ atau }& x_2 = 3 \end{align} [/tex]

    2) Dengan melengkapkan kuadrat sempurna:

    [tex]\begin{align}x^2-5x+6 &= 0 \\ x^2-5x &= -6 \\ x^2 -5x + \left(-\frac{5}{2}\right)^2 &= \left(-\frac{5}{2}\right)^2 -6 \\ \left(x-\frac{5}{2}\right)^2 &= \frac{25}{4} -6 \\ \left(x-\frac{5}{2}\right)^2 &= \frac{1}{4} \\ x-\frac{5}{2} &= \pm \sqrt{\frac{1}{4}} \\ x &= \frac{5}{2} \pm \frac{1}{2}\end{align} [/tex]


Carilah akar-akar persamaan kuadrat dengan cara faktorisasi melengkapkan kuadrat sempurna dan rumus abc dari persamaan berikut. 2 Persamaan kuadrat bentuk ax2 bx c dengan a 1 dan a 0.

onerror="this.onerror=null;this.src='https://encrypted-tbn0.gstatic.com/images?q=tbn:ANd9GcQh_l3eQ5xwiPy07kGEXjmjgmBKBRB7H2mRxCGhv1tFWg5c_mWT';">

Persamaan Kuadrat 9 Pdf

Rumus ABC Persamaan Kuadrat.

style="margin-right: 8px;margin-bottom: 8px;">

Tentukan penyelesaian persamaan kuadrat berikut dengan 3 cara memfaktorkan melengkapkan kuadrat se.
B22 8x 1 0 x2 4x x2 4x x 22 22 x 2 x1 -2.
Cara Memfaktorkan Persamaan Kuadrat.
X 2 6 x 16 0.


Melengkapi kuadrat sempurna adalah metode yang digunakan untuk mengubah konversi bentuk persamaan kuadrat ax².
Akar persamaan kuadrat ax² bx c 0 adalah nilai x yang memenuhi persamaan kuadrat tersebut atau dengan kata lain nilai-nilai x yang menyebabkan persamaan kuadrat.
Dengan demikian akar-akar persaman kuadrat bentuk ax2 bx 0 a x 2 b x 0 adalah 0 dan ba b a.


Metode pemfaktoran dan penggunaan rumus abc telah.
Rumus Persamaan Kuadrat Matematika Lengkap.
Pada umumnya Metode rumus abc biasa digunakan jika pemfaktoran.


Ada tiga cara yang sering digunakan dalam menentukan akar-akar persamaan kuadrat yaitu dengan pemfaktoran melengkapkan bentuk kuadrat sempurna dan rumus abc.
Rumus Abc Kemiripan Kuadrat Komplet Soal Rumus Lambang bunyi Persamaan Kuadrat.
Penyelesaian persamaan kuadrat bisa dilakukan dengan 3 metoda.


4 Persamaan kuadrat bentuk x2 c atau nilai b 0.
By Abdillah Posted on 18092022.
Matematikastudycentercom- Contoh menyelesaikan persamaan kuadrat dengan metode melengkapkan kuadrat sempurna.


Dimana a adalah koefisien kuadrat dari x² b merupakan koefisien linier b dari x dan c.
Persamaan x2 6x 8x sudah sesuai dengan bentuk umum ax2 bx c 0.
Cara Memfaktorkan Persamaan Kuadrat.


Melalui proses melengkapkan kuadrat sempurna ubahlah persamaan kuadrat ax2 bx c 0 ke dalam bentuk x p2 q dengan q 0.
1 Persamaan 2x2 4x 6 0 memiliki nilai a 2 b 4 dan c -6.
Faktorisasi atau pemfaktoran merupakan cara mencari penyelesaian dari persamaan kuadrat dengan cara.


Rumus ABC adalah rumus yang digunakan untuk mencari akar-akar pada persamaan kuadrat.
3 Persamaan kuadrat bentuk ax2 bx atau nilai c 0.
Menyelesaikan Persamaan Kuadrat dengan Rumus ABC.


Dalam menentukan akar persamaan kuadrat terdapat 3 cara yaitu dengan memfaktorkan melengkapkan kuadrat sempurna dan menggunakan rumus.
Halo apakabar pembaca JawabanSoalid.
Kuadrat Sempurna Contoh Soal Kuadrat Sempurna.


Soal Dengan Menggunakan Rumus Kuadrat rumus Abc Tentukanlah Nilai X1 Dan Dari Penyelesaian P.
Persamaan kuadrat merupakan suatu persamaan dari variabel yang mempunyai pangkat tertinggi yaitu 2.
Demikianlah artikel tentang cara mudah menentukan.


Persamaan kuadarat memiliki bentuk umu ax 2 bx c 0 dengan a 0.
Tentukan himpunan penyelesaian dari x2-2x17 dengan melengkapkan kuadrat sempurna.
Rumus persamaan kuadrat dengan bentuk umumnya yang meliputi ab dan c ϵ R dan a0.


Tentukan himpunan penyelesaian atau.
1Tentukan akar persamaan kuadrat berikut.
Ada tiga cara yang sering digunakan dalam menyelesaikan suatu persamaan kuadrat yaitu pemfaktoran melengkapkan.


Rumus ini bisa digunakan saat pemfaktoran dan melengkapi.
Kita sedang ada di situs yang tepat jikalau kita sedang mencari jawaban atas soal berikut.
Rumus Melengkapi Kuadrat Sempurna dan Solusi Akar-Akar.


4 Tambahkan b2a2 2212 1 pada kedua ruas.
Tentukan himpunan penyelesaian persamaan kuadrat dari x2 6x 8 0.
Rumus Persamaan Kuadrat Pengertian Persamaan Kuadrat menurut para ahli.


Cara Menyusun Persamaan Kuadrat dan Contohnya.
Perhatikan contoh soal berikut.

onerror="this.onerror=null;this.src='https://encrypted-tbn0.gstatic.com/images?q=tbn:ANd9GcQh_l3eQ5xwiPy07kGEXjmjgmBKBRB7H2mRxCGhv1tFWg5c_mWT';">

Kumpulan Contoh Soal Rumus Abc Beserta Pembahasan Gambar Statmat Net

onerror="this.onerror=null;this.src='https://encrypted-tbn0.gstatic.com/images?q=tbn:ANd9GcQh_l3eQ5xwiPy07kGEXjmjgmBKBRB7H2mRxCGhv1tFWg5c_mWT';">

Tentukan Akar Persamaan Kuadrat Berikut Dengan 3 Cara Yang Telah Kalian Pelajari 3x2 5x 2 0

onerror="this.onerror=null;this.src='https://encrypted-tbn0.gstatic.com/images?q=tbn:ANd9GcQh_l3eQ5xwiPy07kGEXjmjgmBKBRB7H2mRxCGhv1tFWg5c_mWT';">

Cara Mencari Akar Akar Persamaan Kuadrat Pemfaktoran Kuadrat Sempurna Rumus Abc Contoh Soal Dan Pembahasannya Sekolah Matematika Sains Sms

onerror="this.onerror=null;this.src='https://encrypted-tbn0.gstatic.com/images?q=tbn:ANd9GcQh_l3eQ5xwiPy07kGEXjmjgmBKBRB7H2mRxCGhv1tFWg5c_mWT';">

Persamaan Fungsi Kuadrat Ppt Download

onerror="this.onerror=null;this.src='https://encrypted-tbn0.gstatic.com/images?q=tbn:ANd9GcQh_l3eQ5xwiPy07kGEXjmjgmBKBRB7H2mRxCGhv1tFWg5c_mWT';">

Tutorial Cara Menentukan Akar Persamaan Kuadrat Dengan Cara Melengkapkan Kuadrat Sempurna Bagian Youtube

onerror="this.onerror=null;this.src='https://encrypted-tbn0.gstatic.com/images?q=tbn:ANd9GcQh_l3eQ5xwiPy07kGEXjmjgmBKBRB7H2mRxCGhv1tFWg5c_mWT';">

Cara Mencari Akar Akar Persamaan Kuadrat Pemfaktoran Kuadrat Sempurna Rumus Abc Contoh Soal Dan Pembahasannya Sekolah Matematika Sains Sms

onerror="this.onerror=null;this.src='https://encrypted-tbn0.gstatic.com/images?q=tbn:ANd9GcQh_l3eQ5xwiPy07kGEXjmjgmBKBRB7H2mRxCGhv1tFWg5c_mWT';">

Contoh Soal Persamaan Kuadrat Dan Jawaban

onerror="this.onerror=null;this.src='https://encrypted-tbn0.gstatic.com/images?q=tbn:ANd9GcQh_l3eQ5xwiPy07kGEXjmjgmBKBRB7H2mRxCGhv1tFWg5c_mWT';">

Contoh Soal Persamaan Kuadrat Dan Jawaban

onerror="this.onerror=null;this.src='https://encrypted-tbn0.gstatic.com/images?q=tbn:ANd9GcQh_l3eQ5xwiPy07kGEXjmjgmBKBRB7H2mRxCGhv1tFWg5c_mWT';">

Tugas Matik Persamaan Kuadrat 2

onerror="this.onerror=null;this.src='https://encrypted-tbn0.gstatic.com/images?q=tbn:ANd9GcQh_l3eQ5xwiPy07kGEXjmjgmBKBRB7H2mRxCGhv1tFWg5c_mWT';">

Soal Tentukan Akar Akar Persamaan Kuadrat Larr Dengan Cara Melengkapkan Kuadrat Sempurna

onerror="this.onerror=null;this.src='https://encrypted-tbn0.gstatic.com/images?q=tbn:ANd9GcQh_l3eQ5xwiPy07kGEXjmjgmBKBRB7H2mRxCGhv1tFWg5c_mWT';">

Tentukan Himpunan Penyelesaian Dari Persamaan Kuad

onerror="this.onerror=null;this.src='https://encrypted-tbn0.gstatic.com/images?q=tbn:ANd9GcQh_l3eQ5xwiPy07kGEXjmjgmBKBRB7H2mRxCGhv1tFWg5c_mWT';">

Tentukan Akar Akar Persamaan Kuadrat X2 8x 12 0 Dengan Menggunakan Metode Berikut

onerror="this.onerror=null;this.src='https://encrypted-tbn0.gstatic.com/images?q=tbn:ANd9GcQh_l3eQ5xwiPy07kGEXjmjgmBKBRB7H2mRxCGhv1tFWg5c_mWT';">

Persamaan Kuadrat

onerror="this.onerror=null;this.src='https://encrypted-tbn0.gstatic.com/images?q=tbn:ANd9GcQh_l3eQ5xwiPy07kGEXjmjgmBKBRB7H2mRxCGhv1tFWg5c_mWT';">

1 Tentukan Akar Akar Persamaan Kuadrat Berikut Dengan Melengkapkan Kuadrat Sempurna A Tex X 2 Brainly Co Id

onerror="this.onerror=null;this.src='https://encrypted-tbn0.gstatic.com/images?q=tbn:ANd9GcQh_l3eQ5xwiPy07kGEXjmjgmBKBRB7H2mRxCGhv1tFWg5c_mWT';">

Top 9 Tentukan Akar Akar Persamaan Kuadrat X2 6x 8 0 Dengan Menggunakan Metode Abc 2022

onerror="this.onerror=null;this.src='https://encrypted-tbn0.gstatic.com/images?q=tbn:ANd9GcQh_l3eQ5xwiPy07kGEXjmjgmBKBRB7H2mRxCGhv1tFWg5c_mWT';">

Mencari Akar 2x X 3 0 Dengan Tiga Cara Buku Paket Hal 81 Kelas 9 Youtube

onerror="this.onerror=null;this.src='https://encrypted-tbn0.gstatic.com/images?q=tbn:ANd9GcQh_l3eQ5xwiPy07kGEXjmjgmBKBRB7H2mRxCGhv1tFWg5c_mWT';">

1 Tentukan Himpunan Penyelesaian Dari Persamaan Kuadrat Di Bawah Ini Dengan Memfaktorkana 2 5 0 B 2 5 3 02 Tentukan Himpunan Penyelesaian Dari Persamaan Kuadrat Di Bawah Ini Dengan Melengkapi Kuadrat Sempurna A 6 27 0b 2 6 0tolong

onerror="this.onerror=null;this.src='https://encrypted-tbn0.gstatic.com/images?q=tbn:ANd9GcQh_l3eQ5xwiPy07kGEXjmjgmBKBRB7H2mRxCGhv1tFWg5c_mWT';">

Rumus Abc Pengertian Soal Dan Pembahasan

onerror="this.onerror=null;this.src='https://encrypted-tbn0.gstatic.com/images?q=tbn:ANd9GcQh_l3eQ5xwiPy07kGEXjmjgmBKBRB7H2mRxCGhv1tFWg5c_mWT';">

Pemfaktoran Melengkapkan Kuadrat Sempurna Dan Rumus Abc Pada Persamaan Kuadrat Youtube




Advertisement

Tinggalkan komentar disini
EmoticonEmoticon