Monday, January 16, 2023

SELESAIKAN PERSAMAAN BERIKUT DENGAN

Pertanyaan:


SELESAIKAN PERSAMAAN BERIKUT DENGAN
CARA MELENGKAPKAN KUADRAT SEMPURNA!
x²+2x=3​

Jawaban

  • Jawab:

    (x-1)(x+3)

    Penjelasan dengan langkah-langkah:

    =(x²+3x)(-x-3)

    =x(x+3)   -1(x+3)

    =(x-1)(x+3)


Ada tiga cara utama untuk menyelesaikan persamaan kuadrat. Oleh Berta Andreis Saputra Succes Oktober 31.

onerror="this.onerror=null;this.src='https://encrypted-tbn0.gstatic.com/images?q=tbn:ANd9GcQh_l3eQ5xwiPy07kGEXjmjgmBKBRB7H2mRxCGhv1tFWg5c_mWT';">

Selesaikan Persamaan Berikut Dengan Cara Grafik X 2 3

X 2 x 12 0.

style="margin-right: 8px;margin-bottom: 8px;">

Selesaikan persamaan berikut dengan.
Kita sedang ada di halaman yang tepat jikalau anda sedang mencari jawaban atas soal berikut.
5 3x - 2x² 03.
Selesaikan persamaan berikut dengan menggunakan sifat persamaan 4x-57 Mapel.


Halo apakabar pembaca JawabanSoalid.
Selesaikan sistem persamaan berikut dengan menggunakan substitusi y-x0.
X 2 2x 8 0.


Pemecah soal matematika kami mendukung matematika dasar.
Berikut ini beberapa contoh persamaan kuadrat.
Persamaan kuadrat adalah persamaan yang tingkat tertingginya adalah 2 kuadrat.


Selesaikan Sistem Persamaan Berikut Dengan Menggunakan Substitusi.
Selesaikan persamaan 2x 1 7.
Matriks perluasan dari SPL di atas adalah.


Memfaktorkan persamaan kuadrat jika bisa.
Persamaan x2 6x 8x sudah sesuai dengan bentuk umum ax2 bx c 0.
Tentukan nilai yang memenuhi sistem persamaan berikut dengan menggunakan metode eleminasi Gauss.


Selesaikan soal matematika Anda menggunakan pemecah soal matematika gratis kami dengan solusi langkah demi langkah.
Selesaikan persamaan kuadat berikut dengan pemfaktoran atau dengan melengkapkan kuadrat rumus ABC1.
Berikut ini contoh penyelesaian sistem persamaan linear dengan menggunakan operasi baris elementer.


Selesaikan persamaan kuadrat berikut dengan cara melengkapkan kuadrat sempurna.
Simak pembahasan mapel Matematika untuk jenjang Sekolah Menengah Atas berikut ini.
Y x - 4.


Simak pembahasan mapel Matematika untuk jenjang Sekolah Menengah Atas berikut ini.
Oleh admin Diposting pada Mei 16 2022.
Selesaikan persamaan kuadat berikut dengan pemfaktoran atau dengan melengkapkan kuadrat rumus ABC 1.


Berikut ini adalah pembahasan dan.
Selesaikan persamaan kuadrat berikut dengan cara faktorisasi x2 2x - 48 0.
Di post saya yang lalu telah diuraikan bagaimana menyelesaikan suatu sistem persamaan linier dengan k buah anu dengan teknik eliminasi dan substitusipenggantian.


Tentukan selesaian dari sistem persamaan linear berikut dengan menggunakan grafik.
Disini kita punya soal tentang persamaan kuadrat kita diminta menyelesaikan persamaan kuadrat ini dengan faktorisasi untuk faktorisasi kita lihat dulu nilai dari b nya yang.
Substitusi persamaan 3 ke persamaan 1 sehingga diperoleh.


3x 2 4x 6.
X 2 4x 5 0.
2x 2 6x 3 0.


Selesaikan sistem persamaan berikut dengan menggunakan substitusi Ayx-4 y4x-10 Bx2y7 3x-2y3 C4x-2y14 y12x-1 Jawaban 1.
Simak pembahasan mapel Matematika untuk jenjang Sekolah Menengah Pertama berikut ini.
Selesaikan sistem persamaan berikut dengan.


Ax² ab 1 x b.
Sebelumnya Mafia Online sudah mengomongkan mengenai metode grafik dan metode penyisihan bagi mencari.
-7 x 9-⁸ e.


3x 4 0 atau 2x 1 0.
Selesaikan persamaan berikut 05x-203x4 Mapel Matematika Jenjang Sekolah Menengah.
Tentukan himpunan penyelesaian persamaan kuadrat dari x2 6x 8 0.


Nah sekarang supaya lebih jelas berikut cara menyelesaikan persamaan linear dengan matriks dan contohnya untuk dua variabel.
Persamaan garis singgung lingkaran.
Selesaikan persamaan trigonometri berikut.


Tentukan himpunan penyelesaian untuk.
X² y² 2x 4y 4 0 dengan gradien -43 adalah 2 X² 6x 10 0 X1X2-ba sebuah segitiga siku-siku hipotenusanya 25 cm dan salah satu panjang.
X² - 2x -15 02.


8 x 5-6 d.
3x 11y 3x 11 1328x3x 132288x 39x 22 88x 49x x 13 13 13 13 kedua ruas 169 147 3.
Menambahkan kelipatan suatu baris dengan baris lainnya.


X² - 2x -15 0 2.
Cos x 1 untuk 0 lebih dari sama dengan x lebih.
Nyatakan bilangan berikut dengan menggunakan pangkat positif.


Selesaikan persamaan kuadat berikut dengan pemfakt.
-8m²p³q⁴-³ Bantu yang bisa Matematika no ngasal Pake.
Persamaan kuadrat memiliki bentuk umum ax 2 bx c 0 dengan a 0.

onerror="this.onerror=null;this.src='https://encrypted-tbn0.gstatic.com/images?q=tbn:ANd9GcQh_l3eQ5xwiPy07kGEXjmjgmBKBRB7H2mRxCGhv1tFWg5c_mWT';">

Persamaan Linear Tiga Variabel Metode Determinan Yurmawita S Blog

onerror="this.onerror=null;this.src='https://encrypted-tbn0.gstatic.com/images?q=tbn:ANd9GcQh_l3eQ5xwiPy07kGEXjmjgmBKBRB7H2mRxCGhv1tFWg5c_mWT';">

Selesaikan Persamaan Persamaan Berikut Dengan Cara Memfaktorkan 4x2 2x 6

onerror="this.onerror=null;this.src='https://encrypted-tbn0.gstatic.com/images?q=tbn:ANd9GcQh_l3eQ5xwiPy07kGEXjmjgmBKBRB7H2mRxCGhv1tFWg5c_mWT';">

Soal Selesaikan Persamaan Berikut Dergan Menentukan Nilai X Y Dar Z X 2y 4 2x Z 5 Y 3z

onerror="this.onerror=null;this.src='https://encrypted-tbn0.gstatic.com/images?q=tbn:ANd9GcQh_l3eQ5xwiPy07kGEXjmjgmBKBRB7H2mRxCGhv1tFWg5c_mWT';">

Selesaikan Setiap Sistem Persamaan Berikut

onerror="this.onerror=null;this.src='https://encrypted-tbn0.gstatic.com/images?q=tbn:ANd9GcQh_l3eQ5xwiPy07kGEXjmjgmBKBRB7H2mRxCGhv1tFWg5c_mWT';">

Soal Selesaikan Persamaan Berikut Untuk 0 Sqrt2sin 3theta 1

onerror="this.onerror=null;this.src='https://encrypted-tbn0.gstatic.com/images?q=tbn:ANd9GcQh_l3eQ5xwiPy07kGEXjmjgmBKBRB7H2mRxCGhv1tFWg5c_mWT';">

Selesaikan Persamaan Berikut Dengan Menggunakan Rumus Abc Tolong Pliis Dikumpul Hari Ini Brainly Co Id

onerror="this.onerror=null;this.src='https://encrypted-tbn0.gstatic.com/images?q=tbn:ANd9GcQh_l3eQ5xwiPy07kGEXjmjgmBKBRB7H2mRxCGhv1tFWg5c_mWT';">

Soal 3 Dengan Menggunakan Invers Matriks Selesaikan Sistem Persamaan Linear Berikut 3x 2y

onerror="this.onerror=null;this.src='https://encrypted-tbn0.gstatic.com/images?q=tbn:ANd9GcQh_l3eQ5xwiPy07kGEXjmjgmBKBRB7H2mRxCGhv1tFWg5c_mWT';">

Selesaikan Persamaan Berikut Dengan Cara Aljabar A X

onerror="this.onerror=null;this.src='https://encrypted-tbn0.gstatic.com/images?q=tbn:ANd9GcQh_l3eQ5xwiPy07kGEXjmjgmBKBRB7H2mRxCGhv1tFWg5c_mWT';">

Selesaikan Persamaan Persamaan Berikut 1 4x 5 72 3x 43 X 8 24 5 7x 65 10x 8x 66 Brainly Co Id

onerror="this.onerror=null;this.src='https://encrypted-tbn0.gstatic.com/images?q=tbn:ANd9GcQh_l3eQ5xwiPy07kGEXjmjgmBKBRB7H2mRxCGhv1tFWg5c_mWT';">

Selesaikan Persamaan Berikut Brainly Co Id

onerror="this.onerror=null;this.src='https://encrypted-tbn0.gstatic.com/images?q=tbn:ANd9GcQh_l3eQ5xwiPy07kGEXjmjgmBKBRB7H2mRxCGhv1tFWg5c_mWT';">

1 Selesaikan Persamaan Kuadrat Berikut Dengan Menentukan Kuadrat Sempurna A 2x 11x 12 0b 3x 3x 10 02 Selesaikan Persamaan

onerror="this.onerror=null;this.src='https://encrypted-tbn0.gstatic.com/images?q=tbn:ANd9GcQh_l3eQ5xwiPy07kGEXjmjgmBKBRB7H2mRxCGhv1tFWg5c_mWT';">

Kelas 10 Selesaikan Persamaan Berikut 2 X 3 5 10 3x Persamaan Linear Satu Variabel Youtube

onerror="this.onerror=null;this.src='https://encrypted-tbn0.gstatic.com/images?q=tbn:ANd9GcQh_l3eQ5xwiPy07kGEXjmjgmBKBRB7H2mRxCGhv1tFWg5c_mWT';">

Selesaikan Persamaan Berikut Menggunakan Metode Substitusi Metode Eliminasi Substitusi Dan Metode Brainly Co Id

onerror="this.onerror=null;this.src='https://encrypted-tbn0.gstatic.com/images?q=tbn:ANd9GcQh_l3eQ5xwiPy07kGEXjmjgmBKBRB7H2mRxCGhv1tFWg5c_mWT';">

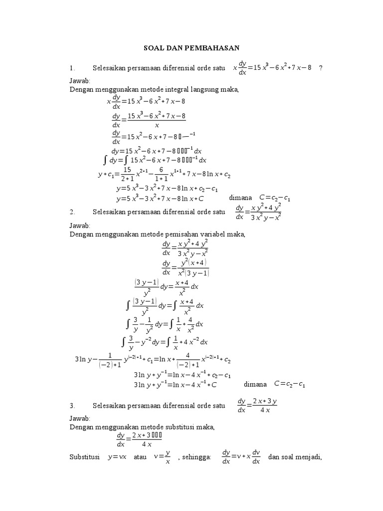
Selesaikan Persamaan Diferensial Xdydx Pdf

onerror="this.onerror=null;this.src='https://encrypted-tbn0.gstatic.com/images?q=tbn:ANd9GcQh_l3eQ5xwiPy07kGEXjmjgmBKBRB7H2mRxCGhv1tFWg5c_mWT';">

Selesaikan Persamaan Berikut Dengan Memfraktorkan

onerror="this.onerror=null;this.src='https://encrypted-tbn0.gstatic.com/images?q=tbn:ANd9GcQh_l3eQ5xwiPy07kGEXjmjgmBKBRB7H2mRxCGhv1tFWg5c_mWT';">

Solved Gunakan Rumus Berikut Y Selesaikan Persamaan Difere Chegg Com

onerror="this.onerror=null;this.src='https://encrypted-tbn0.gstatic.com/images?q=tbn:ANd9GcQh_l3eQ5xwiPy07kGEXjmjgmBKBRB7H2mRxCGhv1tFWg5c_mWT';">

Selesaikan Setiap Persamaan Berikut Please Jwb Dengan Bnr Brainly Co Id

onerror="this.onerror=null;this.src='https://encrypted-tbn0.gstatic.com/images?q=tbn:ANd9GcQh_l3eQ5xwiPy07kGEXjmjgmBKBRB7H2mRxCGhv1tFWg5c_mWT';">

Selesaikan Persamaan Persamaan Berikut Dengan Melengkapkan Kuadrat Sempurna Brainly Co Id

onerror="this.onerror=null;this.src='https://encrypted-tbn0.gstatic.com/images?q=tbn:ANd9GcQh_l3eQ5xwiPy07kGEXjmjgmBKBRB7H2mRxCGhv1tFWg5c_mWT';">

Penyelesaian Persamaan Linear Metode Gauss Ppt Download




Advertisement

Tinggalkan komentar disini
EmoticonEmoticon